Государственный стандарт РК ИСО 6570

Главная  Назад  Вперед

ГОСУДАРСТВЕННЫЙ СТАНДАРТ РЕСПУБЛИКИ КАЗАХСТАН

Газ природный.

Определение потенциального содержания углеводородной жидкости. Гравиметрические методы

Natural gas — Determination of potential hydrocarbon liquid content — Gravimetric methods

 

Дата введения______________

 

 

1 Область применения

Настоящий стандарт устанавливает принципы, и общие требования, по двум гравиметрическим методам для определения потенциального содержания углеводородной жидкости природного газа или схожих газов при заданном давлении и температуре.

Настоящий стандарт не предусматривает рассмотрение всех вопросов техники безопасности, связанных с его применением. Ответственность пользователя настоящего стандарта предусматривает разработку соответствующей практики обеспечения безопасности и здравоохранения в соответствие с законодательством Республики Казахстан или применение существующих нормативных правовых актов Республики Казахстан.

 

2 Нормативные ссылки

 

В настоящем стандарте использованы ссылки на следующие стандарты:

СТ РК 2.4-2007 - Государственная система обеспечения единства измерений Республики Казахстан. Поверка средств измерений. Организация и порядок проведения.

СТ РК 2.21-2007 ГСИ РК. Порядок проведения испытаний и утверждения типа средств измерений.

СТ РК 2.30-2007 ГСИ РК. Порядок проведения метрологической аттестации средств измерений.

СТ РК 2.75 – 2004 Государственная система обеспечения единства измерений. Порядок аттестации испытательного оборудования.

СТ РК ИСО 6327 -2004 Анализ газов. Определение точки росы природного газа. Гигрометры с охлаждающей поверхностью.

___________________________________________________________________

Издание официальное

СТ РК ИСО 6976-2004 Газ природный. Расчет теплотворной способности, плотности, относительной плотности и индекса Воббе для смеси.

СТ РК ИСО 10715-2004 Газ природный. Методы отбора проб.

СТ РК ИСО 12213-1-2004 Газ природный. Расчет коэффициента сжатия. Часть 1. Введение и руководящие указания.

СТ РК ИСО 12213-2-2004 Газ природный. Расчет коэффициента сжатия. Часть 2. Расчет на основе молярного состава.

СТ РК ИСО 12213-3-2004 Газ природный. Расчет коэффициента сжатия. Часть 3. Расчет основ физических характеристик.

ГОСТ 2.781-68 Единая система конструкторской документации. Обозначения условные графические. Аппараты гидравлические и пневматические, устройства управления и приборы контрольно-измерительные.

ГОСТ 2405–88 Манометры, вакуумметры, мановакуумметры, напоромеры, тягомеры и тягонапоромеры. Общие технические условия.

ГОСТ 28498–90 Термометры жидкостные стеклянные. Общие технические требования. Методы испытаний.

 

3 Объем работ

 

3.1 В настоящем стандарте представлены два метода для определения количества конденсата в пробе газа:

Метод A: Метод взвешивания вручную;

Метод B: Метод непрямого автоматического взвешивания, основанный на показании разницы давления, вызванной накоплением конденсата в вертикальной трубке.

3.2 Метод взвешивания вручную является эталонным методом для непрямого автоматического метода (метод B).   Непрямой автоматический метод  (Метод B) подходит для полунепрерывного контроля.

Примечание - Если не предусмотрено иное, объемы газа выражаются в кубических метрах при температуре 0 °С (273,15 °K) замеренным термометром по    ГОСТ 28498 и давлении газа 101,325 кПa замеренным манометром по ГОСТ 2405.

 

4 Принцип метода

 

4.1 Определение количества углеводородного конденсата, который может быть образован при определенном давлении и температуре, пропуская представительную пробу газа через прибор, где она сначала попадает под определенное давление, а затем охлаждается до необходимой температуры.

Примечание - Температуру и давление выбирают в соответствии с особым применением по Приложению A.

4.2 Перед тем как снизить давление пробы газа до уровня необходимого для определения количества углеводородного конденсата, газ нагревают. Таким образом, после снижения давления, температура существенно превышает температуру конденсации газа. После редуктора проба охлаждается изобарически в охладительной ванне до требуемой температуры измерения.

4.2 Количество жидкости, накопленной в течение периода измерений, определяется прямым взвешиванием вручную собранной жидкости или взвешиванием циклонного сепаратора конденсата в начале и в конце периода измерений (Метод A).

В качестве альтернативы количество жидкости, скопившейся в вертикальной трубке измерения, можно определять автоматически (непрямое автоматическое взвешивание) посредством показания разницы в давлении, вызванной жидкостью, скопившейся в вертикальной трубке измерения.

 

5 Требования к прибору

 

5.1        Измерительное оборудование (установка)

Общая схема установки показана на Рисунке 1. Примеры производст-венного участка установки приведены в Приложении Б.

 

gos1

1

газ из трубопровода или газового пробоотборника;

2

подача азота (по выбору);

3

линия отбора проб с температурным контролем;

4

осушительная трубка для выпуска водяного пара (по выбору);

5

пылеуловитель;

6

теплообменник;

7

редуктор давления;

8

охлаждающий змеевик;

9

охлаждающая ванна;

10

основной циклонный сепаратор;

11

туманоуловитель (по выбору);

12

расходомер газа;

13

вентиляционное отверстие;

а)

измеритель конденсируемого пара и тумана (если присутствует);

б)

клапан спускной (до атмосферного давления).

 

Рисунок 1 — Общая схема измерительного оборудования

 

Примечание – Обозначения графические условные не указанные в общей схеме измерительного оборудования определяются по ГОСТ 2.781.

Средства измерений, применяемые при испытаниях, должны иметь сертификат об утверждении типа в соответствии с СТ РК 2.21 или метрологической аттестации в соответствии с СТ РК 2.30, быть зарегистрированы в реестре Государственной системы обеспечения единства измерений Республики Казахстан и поверенными в соответствии с СТ РК 2.4. Испытательное оборудование, воспроизводящее нормированные внешние воздействующие факторы и (или) нагрузки, подлежит аттестации в соответствии с СТ РК 2.75.

5.1.1        Газовые соединительные трубки из нержавеющей стали с внутренним диаметром от 2 до 4 мм.

Если туман присутствует в газе, то вся труба до точки испарения или отделения тумана должна иметь внутренний диаметр совместимый с диаметром линии для отбора проб (см. 5.1.2).

5.1.2        Линия для отбора проб, длина которой минимальна и температура которой контролируется по всей длине, по крайней мере, до точки ее примыкания к части оборудования, где осуществляется измерение.

Пример линии для отбора проб представлен на рисунке 2.

 

 

gos 2

 

1

направляющее кольцо в головке колонной трубы;

2

медная трубка;

3

гидрозатвор редуктора;

4

T-образный гидрозатвор;

5

пластиковый шланг;

6

зажим шланга;

7

медная трубка [16 мм/13 мм (наружный диаметр/внутренний диаметр), длина 50 мм];

а

места в медной трубке, где надлежит просверлить отверстие насквозь.

 

Рисунок 2 — Пример линии отбора проб с контролером температуры

Линию для отбора проб можно нагревать, зафиксировав пластиковый шланг концентрически вокруг линии, по которой течет вода необходимой температуры. Для этой цели можно использовать ванну с контролем температуры, из которой вода поступает для циркуляции и куда она возвращается после циркуляции.

Минимальную температуру линии для отбора проб можно проверять  посредством замера температуры в обратном трубопроводе. Задвижка для взятия пробы и место вокруг нее подлежат обогреву или, по крайней мере, должно быть термически изолированы.

5.1.3 Осушительная трубка (по выбору) для устранения водяного пара, присутствующего в больших количествах в газе.

Следует проявлять осторожность с тем, чтобы избежать помех при определении потенциального содержания углеводородной жидкости.

При определенных условиях присутствие водяного пара может привести к образованию гидрата, что приводит к неточностям в измерении. Следовательно, необходимо обеспечение снижения температуры конденсации воды пробы при ее прохождении через трубку, наполненную безводным хлористым кальцием или схожим водо-абсорбирующим веществом, который не абсорбирует углеводороды. В таких случаях, следует контролировать температуру конденсации воды после осушительной трубки для проверки степени насыщения абсорбирующего вещества. Установите осушительную трубку впереди пылеуловителя для предотвращения попадания частиц осушительного агента в измерительное оборудование.

Если присутствие водяного пара не приводит к образованию гидрата можно не устанавливать осушительную трубку и определять количество воды, образовавшееся в условиях измерения.

Если углеводородный туман присутствует в пробе, используется осушительная трубка с тем, чтобы гарантировать испарение тумана посредством нагрева перед тем, как проба пройдет через осушительную трубку.

5.1.4        Пылеуловитель использовать с размером пор не более 5 мкм, не абсорбирующий углеводороды.

5.1.5        Теплообменники, регуляторы и контролеры давления, установлен-ные на газовой линии вместе с теплообменником непосредственно впереди каждого регулятора давления для обеспечения сохранения температуры газа после снижения давления на уровне, по крайней мере на 5 градусов выше температуры конденсации.

Контролер давления может быть размещен впереди или после охлажда-ющей ванны в измерительном оборудовании (см. приложение Б).

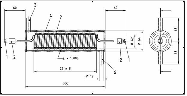
1.Теплообменник (пример на рисунке 3), через который вода определенной температуры циркулирует из ванны с терморегулятором с тем, чтобы сохранять постоянную температуру в газовой линии.

 

gos 3

 

1

направляющее кольцо в головке колонной трубы;

2

гайка;

3

вход жидкости;

4

кожух;

5

газопровод;

6

выход жидкости;


L - длина  (L > 1 000 мм)

Примечание - Все  размеры, указанные на рисунке 3, в миллиметрах

 

Рисунок 3 Пример теплообменника

 

5.1.5.2    Регулятор давления и контролер давления для того, чтобы максимальное отклонение от заданного значения при измерении давления в циклонном сепараторе газа/жидкости составляло 10 кПa.

5.1.6        Средства измерения температуры и давления для учета или мониторинга следующего:

a)        температура и давление газа в циклонном сепараторе газа/жидкости;

б)        температура и давление окружающей среды;

в)        температура газа в газопроводе или в газовом пробоотборнике для отбора проб (по выбору);

г)        температура газа после снижения давления (по выбору);

д)        температура ванны (по выбору);

е)        давление газа до снижения давления (по выбору);

ж)        давление газа после снижения давления (по выбору).

В случае, если экспериментально доказано, что разница между температурой газа в циклонном сепараторе и температурой охладительной ванны менее 0,1 градуса, взамен может быть замерена температура охладительной ванны. Давление можно замерить в линии для отбора проб до или после циклонного сепаратора.

5.1.7        Газовый расходомер, способный производить массовые или волюметрические измерения для мокрого или сухого газа. При применении массового расходомера необходимо знать плотность газа.

Расход газа, проходящий через оборудование, ограничен охладительной способностью ванны, передачей тепла между охлаждающим змеевиком и ванной и спадом температуры, заданной для пробы. Таким образом, расход должен быть ограничен значением, гарантирующим охлаждение газа до температуры ванны (см.  5.1.9.3).

Необходимо проверить точность расходомера при регулярных временных или эксплуатационных интервалах. Газомер следует выбирать с учетом требуемой точности, расхода и характера природного газа. Допустимая погрешность расходомера должна составлять 1 % замеренной величины.

Замеренные величины требуют корректировки по температуре и давлению, если величины отличаются в течение периода измерения от эталонных условий (температура равная 273,15 °K (0 °С)  и давлении      101,325 кПa).

5.1.8        Нагретая камера, используемая в случае непрямого отбора проб, соответствующей формы для вмещения газового пробоотборника, и способная нагреваться, по крайней мере, на 10 °K (10 °С) выше температуры в точке отбора пробы (см. 6.5).

5.1.9        Конденсаторный/сепараторный прибор, состоящий из охлади-тельного змеевика концом подсоединенного к циклонному сепаратору, где собираются конденсаты (см. рисунок 4).

Охладительный змеевик и циклонный сепаратор полностью опускаются в охладительную ванну. Разница в температуре между охлаждающей ванной и циклонным сепаратором газа/жидкости не должна превышать 0,1 градус.

 

gos 4

 

1

игольчатый клапан высокого давления, нержавеющая сталь

(1/4  × 1/4 дюйма);

2

труба из нержавеющей стали (ø 1/4 дюйма × 0,028 дюйма, длина 20);

3

лента из нержавеющей стали (6 × 2);

4

уплотнительное кольцо: эластомерное тороидальное устойчивое к углеводороду прокладочное кольцо (ø 34,65 × 1,78);

5

заглушка из нержавеющей стали;

6

игольчатый клапан высокого давления, нержавеющая сталь

(1/4 × 1/4 дюйма ГТМ *);

7

охлаждающий змеевик из трубок из нержавеющей стали (ø 3/16 дюйма × 0,02 дюйма) или медные трубы (ø 3/16 дюйма 0,049 дюйма) (длина 2 500);

8

камера из нержавеющей стали;

9

труба из нержавеющей стали или медная труба [ø 2/1 (внешний диаметр/внутренний диаметр), длина 60];


Примечание

1 При испытании серосодержащего газа охлаждающий змеевик должен  быть изготовлен из нержавеющей стали.

2  Размеры в миллиметрах (если не указано иное).

.

Рисунок 4 — Пример конденсирующего/сепарирующего прибора

______________

* - Государственный труборезный метчик

5.1.9.1   Охлаждающий змеевик (конструкторское исполнение возможно в виде спирали из нержавеющей стальной трубки) соответствующий следующим проектным спецификациям:

a)        способный обеспечить турбулентный поток в ходе замеров;

б)        способный поддерживать разницу температуры между газом, выходящим из охлаждающего змеевика, и температуры охлаждающей ванны до менее чем 0,25 °K (0,25 °С);

в)        охлаждающий змеевик способный поддерживать различия давлений, не превышая 1 кПa для обеспечения изобарических условий;

г)        иметь внутренний диаметр от 2 до 4 мм.

Примечание - Эти спецификации могут быть соблюдены, к примеру, при применении охладительного змеевика длинной 2,5 м и расходе газа 1 м3/ч.

5.1.9.2    Циклонный сепаратор, постоянно подсоединенный к охлаждающему змеевику, определенного диаметра на входе, способный достичь значительного центробежного действия по мере поступления пробного газа в камеру циклонного сепаратора.

Пример: Циклонный сепаратор с внутренним диаметром 1 мм может обеспечить соответствие этим требованиям. Следует предусмотреть для измерения или учета температуры газа в камере.

Для непрямого автоматического измерения конденсата (Метод B) на дне циклонного сепаратора крепится вертикальная измерительная трубка. Взвешивающее устройство (см. 5.1.10.2) подсоединяется к основанию измерительного прибора. Этот преобразователь дифференциального давления присоединяется к одной стороне основания измерительной трубки и к другой стороне нижней части циклонного сепаратора. Таким образом, разница давления между обеими сторонами преобразователя представляет меру массы жидкости в измерительной трубке. На дне измерительной трубы крепится дренажная линия. Эта дренажная труба открывается с регулярным интервалом времени для выпуска скопившегося конденсата из измерительной трубы.

Примечание - Для взвешивающего устройства следует применять механический дифманометр (см. 5.1.10.2).

5.1.9.3  Охлаждающая жидкость в ванне, тщательно взболтанная, с перемешивающим устройством, в которую допускается  полностью опустить охлаждающий змеевик (см. 5.1.9.1) и циклонный сепаратор (см. 5.1.9.2), а также поддерживать температуру на любой отметке ванны менее чем 0,25 градуса.

Следует постоянно проверять эксплуатацию охлаждающей ванны, которая предусматривает:

a)        применение чувствительного индикатора точки росы [с температурой измерения от (минус) 40 ºС до 50  ºС] или определения точки росы по СТ РК 6327 для подтверждения того, что измеренная температура конденсации газа равна температуре охлаждающей ванны в пределах 0,25 градуса. Это дает информацию об эффективности газоохладителя, а также об эффективности циклонного сепаратора газа/жидкости.

б)        измерение температуры выходящего газа для подтверждения того, что его температура равна температуре ванны в пределах 0,25 градуса. Эта процедура дает информацию только по эффективности охлаждающего змеевика и ванны.

5.1.10  Измерительные устройства:

5.1.10.1        Весы (Метод A), способные взвешивать до 0,01 г  для масс до 2 кг.

5.1.10.2        Механический дифманометр (Метод B), способный замерять разницу в давлениях до 1 мг/м3 (стандартный), с низшим пределом определения 5 мг/м3 (стандартный).

5.1.11   Изокинетический зонд отбора проб см. рисунок 5 (по выбору), который можно установить в перекачивающем газопроводе измерительного устройства (см 5.1), имеющий входное устройство зонда размерами, не позволяющими скоростям газа в трубопроводе и во входном устройстве зонда отличаться более чем на 30 %.

Пример изокинетического зонда отбора проб приведен на Рисунке 5.

 

gos 5

 

1

заглушка для отбора проб;

2

нержавеющая сталь;

3

резьба;

4

зажим;

5

ручка;

6

указание положения форсунки;

7

игольчатый клапан;

8

гайка;

9

направляющее кольцо в головке колонной трубы;

10

клапан;

11

делрин  (износостойкий технический полиоксиэтилен);

12

уплотнительное кольцо;


L - изменяющаяся длина


D - разные диаметры для изокинетического отбора проб


α  - угол в зависимости от отверстия

Примечание - Для замены уплотнительного кольца следует снять направляющее кольцо в головке колонной трубы, срезав трубу приблизительно на 10 мм (все размеры указанные на рисунке в миллиметрах).


 

Рисунок 5 – Пример зонда для изокинетического отбора проб


 

5.2        Проверка на предмет правильного функционирования установки

Периодически следует проверять измерительное оборудование на предмет его правильного функционирования, осуществляя замеры при одной и той же температуре и давлении. Для того чтобы понять колебания процесса выбранная температура измерения должна быть ниже ожидаемой самой низкой температуры газа, подлежащей измерению.

 

6 Отбор проб

6.1        Общие положения

Дополнительно к СТ РК ИСО 10715 для получения достоверных результатов следует также выполнять требования, указанные в этом пункте.

Необходимо транспортировать газ непосредственно в измерительное оборудование по линии для отбора проб из транспортирующего трубопровода или из другой системы. Газ, поступивший в установку, должен представлять газ, подлежащий испытанию.

Допускается применение метода непрямого отбора проб, используя газовый пробоотборник, с целью транспортировки газа в измерительную установку.

Примечание – Предпочтителен метод прямого перемещения пробы по трубопроводу из транспортирующего трубопровода или из другой системы.

 

6.2 Условия отбора проб

 

Если в трубопроводной системе присутствует углеводородный туман, то результат измерений будет значительно зависеть от расстояния между зондом и точкой образования тумана. В этом случае, производится отбор пробы газа изокинетически, используя зонд для изокинетического отбора пробы (см. 5.1.11), размещенный в транспортировочном трубопроводе.

В случае, если требуется измерить количество тумана отдельно, тогда используйте метод прямого отбора проб.

 

6.3        Линия для отбора проб

 

Нагреть всю линию отбора проб (см. 5.1.2),  до 5 градусов выше температуры конденсации отобранного газа для того, чтобы избежать конденсации.

Пропустить газовую пробу через пылеуловитель (см. 5.1.4). Если в газе присутствует туман, то скорость газа должна быть достаточно высокой для предотвращения скапливания в линии отбора проб. В этом случае не следует устанавливать пылеуловитель.

 

 

6.4        Прямой отбор проб

 

Для прямого отбора проб подключить линию отбора проб непосредст-венно к измерительному оборудованию.

 

6.5        Непрямой отбор проб

 

Можно отобрать пробу в пробоотборник и транспортировать ее в лабораторию. Однако ограниченный объем пробы влияет на чувствительность и точность метода. Для гарантирования того, что содержание пробоотборника является образцовым, чистым, сухим, проверить пробоотборник на содержание углеводорода. Перед наполнением опорожните пробоотборник до давления ниже абсолютных 100 Пa.

Отбор проб из относительно горячей системы в холодный пробоотборник вызывает уплотнение газа и может привести к конденсации.  Оба фактора увеличивают массу отобранного газа, об этом свидетельствует  сравнение масс одинаковых объемов газа, отобранного до выравнивания давления в системе и при выравненном давлении т.е., давление в пробоотборнике и газопроводе равны).  В результате, в лаборатории, до извлечения газа необходимо нагревание  пробоотборника не менее 24 часов до температуры на 10 K выше температуры газа в точке отбора проб. Обогрев необходим для того, чтобы повторно испарить конденсированную жидкость в пробоотборнике. Это также повышает давление сверх давления системы, из которой был произведен отбор пробы; это излишнее давление обеспечивает достаточно газа для выполнения измерений при давлении отбора проб. Необходимо контролировать давление в пробоотборнике для того, чтобы быть уверенным, что оно в пределах рабочего давления пробоотборника.

Если углеводородный туман присутствует в трубопроводной системе, не следует применять метод непрямого отбора проб.

 

 

7        Процедура

 

7.1        Определение потенциального содержания углеводородной жидкости

7.1.1        Метод A — Метод взвешивания вручную

7.1.1.1 Очистка прибора конденсации/сепарирования газа

Перед началом испытания очистите и высушите всю систему конденсации/сепарирования (см. 4.1.9).

Для того чтобы очистить изнутри циклонные сепараторы, которые уже использовались, следует промыть их растворителем (пентан или любой другой растворитель безвредный для соединений из уплотнительного кольца). Можно использовать горячий воздух или газ для испарения оставшегося очистительного растворителя. Может потребоваться 30 мин. для сушки циклонного сепаратора (см. 5.1.9.2). Воду с добавленным антифризом можно использовать как охлаждающую жидкость в ванне с терморегулятором (см. 5.1.9.3). Моноэтиленовый гликоль считается подходящим антифризом и легко устраняется с внешних поверхностей циклонного сепаратора до осуществления взвешивания.

Примечание – Состав охлаждающей жидкости зависит от температурного диапазона определения и состава антифриза (в зависимости от производителя). Соотношение смеси антифриз вода для получения определенной температуры дается в документации на антифриз.

Пример: «Для получения теплоносителя (моноэтиленгликоля с антикоррозионными добавками) с нужной вам температурой замерзания добавьте обычную воду в следующем количестве:

- (минус) 40º С 5 частей антифриза + 1 часть воды (83% антифриз и 17% воды);

- (минус) 30ºС 2 части антифриза+1 часть воды (67% антифриз и 33% воды);

- (минус) 20º С 1 часть антифриза+1 часть воды (50% антифриз и 50% воды).

Дальнейшее разбавление водой, кроме повышения температуры замерзания, приведет к ухудшению антикоррозионный свойств теплоносителя, а также к возможному выпадению осадка солей, растворенных в воде. Оптимальным считается теплоноситель с температурой замерзания -30º С».

7.1.1.2        Определение при использовании пробного газа

После очистки и сушки помещают охлаждающий змеевик и циклонный сепаратор в охлаждающую ванну и подключают их к средствам измерения. Информация по выбору желаемой температуры измерения и давления измерительного оборудования представлена в Приложении A. Когда они достигнут температуры ванны, следует довести давление газа в циклонном сепараторе до давления измерения. Это можно сделать очень точно, применяя изначально слегка более высокое давление и затем впуская требуемый объем газа через газометр, пока манометр не покажет желаемое измерительное давление.

Когда нет излишнего давления, определяйте массу отобранного газа посредством взвешивания охлаждающего змеевика и циклонного сепаратора на весах (см. 5.1.10.1) при давлении немного ниже, чем измерительное давление. Закройте впускной и выпускной клапаны охлаждающего змеевика и циклонного сепаратора. Отсоедините циклонный сепаратор и охлаждающий змеевик, включая клапаны, извлеките их из охлаждающей ванны и погрузите их в резервуар с чистой водой для того, чтобы смыть антифриз, а также произвести проверку на утечку газа. Как только внешняя поверхность очистится, извлеките охлаждающий змеевик и циклонный сепаратор из резервуара и высушите их. Взвесьте охлаждающий змеевик и циклонный сепаратор для определения их первоначальной массы. Поместите охлаждающий змеевик и циклонный сепаратор назад в охлаждающую ванну и подсоедините их к измерительному оборудованию. Пропустите газ через измерительное оборудование с расходом, соответствующим проектным спецификациям.

На практике, расход газа от 0,5 до 1,5 м3/ч дает хорошие результаты при использовании охлаждающего змеевика и циклонного сепаратора согласно 5.1.9.

Когда пропущено достаточное количество газа, остановите поток и убедитесь, что статическое давление газа в установке равно давлению, при котором масса охлаждающего змеевика и циклонного сепаратора сначала была определена.

Предпочтительно пропустить 10 м3  (стандартные эталонные условия) газа через установку или собрать, по крайней мере, 1 г жидкости.

Закройте клапаны. Отсоедините охлаждающий змеевик и циклонный сепаратор, промойте их в воде, очистите и высушите наружные поверхности.

Определите массу охлаждающего змеевика и циклонного сепаратора, содержащих пробу жидкости.

7.1.1.3 Определение при использовании атмосферного воздуха (альтернативный метод)

В качестве альтернативы после очистки и сушки (см. 7.1.1.1) определить массу охлаждающего змеевика и циклонного сепаратора, наполненных воздухом в условиях окружающей среды посредством взвешивания (см. 5.1.10.1). Поместите охлаждающий змеевик и циклонный сепаратор в охлаждающую ванну и подключите их к средствам измерения. Когда они достигнут температуры ванны, доведите давление газа в циклонном сепараторе до давления измерения. Пропустите газ через измерительное оборудование с расходом, соответствующим проектным спецификациям (см. 7.1.1.2). Когда пропущено достаточное количество газа, остановите поток и закройте клапаны. Отсоедините охлаждающий змеевик и циклонный сепаратор, промойте их в воде, очистите и высушите наружные поверхности.

Определите массу охлаждающего змеевика и циклонного сепаратора, содержащих пробу жидкости. Убедитесь в том, что имеется композиционный анализ пробы газа в момент отбора с тем, чтобы рассчитать массу газа в измерительной системе в соответствии с 8.1.2.

7.1.2        Метод B — непрямой автоматический метод

7.1.2.1        Калибровка прибора взвешивания

Калибровать механический дифманоментр (преобразователь диффе-ренциального давления) автоматического прибора измерения конденсата, используя псевдоконденсат известной плотности, совместимой с плотностью исследуемого конденсата, такой как н-декан  или  1:1 смесь на объем н-декан  и триметилбензола (плотность конденсата в ходе исследования может определяться с регулярным интервалом на основе проб, взятых из дренажной трубы). Поместите охлаждающий змеевик и циклонный сепаратор в охлаждающую ванну. Установите температуру охлаждающей ванны на достаточно низкий температурный уровень с тем, чтобы предотвратить конденсацию в результате испарения во время калибровки. Установите давление на желаемом уровне измерительного давления. Определите массу различных величин псевдо-конденсата, взвешивая или измеряя объем. Введите псевдо-конденсат в вертикальную измерительную трубку на дне циклонного сепаратора.

Производите ввод конденсата с помощью насоса для жидкости или шприца. Что касается ввода с помощью шприца, то сначала снизьте давление до атмосферного давления, а затем откройте циклонный сепаратор. После ввода сразу повысьте давление до желаемого измерительного давления.  Показания взвешивающего прибора будут соответствовать массе конденсата.

7.1.2.2        Определение

Согласно калибровке увеличение в показании механического дифманометра соответствует четко определенной величине конденсата в измерительной трубке. Масса конденсата на кубический метр может быть определена посредством разделения массы конденсата, образованной в течение определенного периода времени, на массу газа, прошедшего через прибор в течение того же периода времени.

 

7.2        Определение образования воды

Если масса воды, образованная в измерительных условиях, составляет такой объем, который не способствует образованию гидрата, тогда массу воды можно определять, используя следующий метод взвешивания.

Выполняйте два определения параллельно, используя осушительную трубку (5.1.3) в рамках одного метода и не используя ее в другом.

Если состав газа достаточно устойчив, то определение можно выполнять последовательно, а не параллельно.

 

8        Выражение результатов

 

8.1        Метод A — Метод взвешивания вручную

8.1.1        Использование пробного газа

Потенциальное содержание углеводородной жидкости, ρ ПСУЖ, выра-женное в граммах на кубический метр, при измеренном давлении и температуре представлено следующей формулой:

 

gos 20                                  (1)

 

 

где mC - масса, выраженная в граммах, жидкости, образованной в ходе определения;

V*  - объем, выраженный в кубических метрах, при  температуре     273,15 °K (0 °С) и давлении 101,325 кПa, пробного газа, прошедшего через прибор в ходе измерительного периода.

В конце измерения в охлаждающем змеевике и циклонном сепараторе содержится меньше газа, чем в начале, так как часть газа была вытеснена жидкостью. Это следует учитывать при расчете фактической массы, mc,  собранного конденсата, выраженной в граммах, формула (2):

 

 

gos 19                                 (2)

 

где m1 - масса, охлаждающего змеевика и циклонного сепаратора, содержащих пробу газа в измерительных условиях до определения выраженная в граммах;

m2 - масса, охлаждающего змеевика и циклонного сепаратора после определения, выраженная в граммах;

ρg - плотность пробного газа в измерительных условиях, выраженная в граммах на кубический сантиметр;

ρc - плотность конденсата, выраженная в граммах на кубический сантиметр.

Корректировка в конце измерения газа в охлаждающем змеевике и циклонном сепараторе, чем в начале оказывает лишь ограниченное влияние на конечный результат. Следовательно, для расчета корректировки измерения  углеводородной жидкости, можно использовать приблизительные величины газа и конденсата.

8.1.2 Использование атмосферного воздуха — альтернативный метод

Если применяется альтернативный метод, как указано в п.п. 7.1.1.3, важно знать физические свойства пробного газа. На основе композиционного анализа пробного газа и методов расчета физических свойств газа, что указаны в СТ РК ИСО 6976, СТ РК ИСО 12213-1, СТ РК ИСО 12213-2 и       СТ РК ИСО 12213-3, представляется возможным рассчитать необходимые физические свойства газа.

Потенциальное содержание углеводородной жидкости, ρ ПСУЖ, выраженное в граммах на кубический метр, при измеренном давлении и температуре представлено в уравнении 3:

 

gos 18                          (3)

 

 

где m3 – масса охлаждающего змеевика и циклонного сепаратора, наполненных воздухом в условиях окружающей среды, выраженная в граммах;

m2 – масса охлаждающего змеевика и циклонного сепаратора после определения, выраженная в граммах;

ρg – плотность пробного газа в измерительных условиях, выраженная в граммах на кубический сантиметр;

Vi – внутренний объем охлаждающего змеевика и циклонного сепаратора, выраженный в кубических сантиметрах;

V* - объем пробного газа, прошедшего через прибор в ходе измеритель-ного периода, выраженный в кубических метрах, при  температуре 273,15 °K (0 °С ) и  давлении 101,325 кПa;

a - определяется по формуле (4):

 

gos 17                                                 (4):

 

 

где pair - плотность воздуха при температуре 273,15 °K (0 °С) и давлении 101,325 кПa, выраженная в г/см3;

pg- плотность газа при температуре 273,15 °K (0 °С) и давлении 101,325 кПa, выраженная в г/см3;

T - температура измерения, °К;

Tamb -        температура окружающей среды, выраженная в °К;

pamb - давление окружающей среды, выраженное в кПа;

p - давление измерения, выраженное в кПа;

Zg - сжимаемость пробного газа в измерительных условиях;

Zg - сжимаемость пробного газа в при температуре 273,15 °K (0 °С ) и давлении 101,325 кПa.

 

8.2        Метод B — Непрямой автоматический метод

8.2.1        Калибровка

После того, как завершена калибровка механического дифманометра (преобразователя дифференциального давления), показания механического дифманометра могут быть отражены против массы конденсата на графике. В зависимости от функции отклика используемого механического дифманометра, кривая может проходить по-разному. В общем, функция отклика определяется следующим образом:

 

 

gos 15                            (5)

 

где mcond - фактическая масса, выраженная в граммах, псевдо-конденсата, скопившегося в измерительной трубке;

I Δp - фактическая величина, выраженная в единицах взвешивания, механического дифманометра (преобразователя дифференциального давления).

Примечание – Смотреть приложение В для детального примера.

8.2.2        Измерения

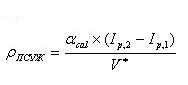
Потенциальное содержание углеводородной жидкости, ρ ПСУЖ, г/м3, при измеренном давлении и температуре представлено следующей формулой:

 

gos 14                                (6)

 

Где   I p,1, I p,2 - показание взвешивающего прибора в t1 и t2 соответственно;

gos 13- функция калибровки;

V* - объем пробного газа, прошедшего через прибор в ходе измерительного периода при  273,15 °K (0 °С ) и  101,325 кПa, выраженный в кубических метрах.

Примечание – Можно использовать механический дифманометр в качестве прибора для взвешивания.

 

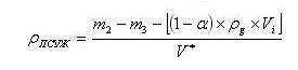
Что касается преобразователя дифференциального давления с линейными характеристиками, то формулу (6) можно упростить доследующего уравнения:

 

 

gos 12                              (7)

 

 

где Ip,1, Ip,2 - показание преобразователя дифференциального давления в t1 и t2 соответственно;

αcal - уклон линии калибровки преобразователя дифференциального давления, выраженный в граммах на единицу взвешивания;

V* - объем пробного газа, прошедшего через прибор в ходе измерительного периода при температуре 273,15 °K (0 °С)  и давлении  101,325 кПa, выраженный в кубических метрах.

Примечание -  Приложение Г с детализированным примером.

 

9        Неточность измерения

 

9.1        Допустимая неточность. Допустимая неточность всей системы измерения составляет приблизительно 1 %. Основные источники ошибки метода взвешивания перечислены в 8.2 - 8.7. Те, что перечислены в 8.2 и 8.3 относятся только к ручному методу, тогда как источник ошибки, указанный в 8.5, относится только к автоматическому методу.

9.2        Утечка газа. Утечка газа может произойти в циклонном сепараторе газа/жидкости в течение промежутка времени между отсоединением и взвешиванием. Иногда эту утечку можно обнаружить из-за непрерывного сокращения массы во время взвешивания или погружения охлаждающего змеевика или циклонного сепаратора в резервуар с водой (см. 6.1.1.2 или 6.1.1.3).

 

9.3        Жидкость ванны. Не тщательная сушка или чистка может стать источником ошибок, так как жидкость ванны может пристать к охлаждающему змеевику или циклонному сепаратору, вызвав тем самым ошибку при взвешивании.

9.4        Влажный газ.        Неожиданная конденсация водяного пара в измерительной системе может привести к ошибочным результатам. При необходимости, следует установить осушительную трубку как описано в 4.1.3.

9.5        Утечка конденсата. Утечка конденсата из измерительной трубки или перелив конденсата из измерительной трубки во время измерения приводит к (существенной) ошибке измерения.

9.6        Изменения температуры ванны и давления циклонного сепаратора газа/жидкости. Если температура и давление в циклонном сепараторе газа/жидкости изменяются во время измерения, тогда количество конденсата окажется неправильным. Зная о такой проблеме, важно вести учет и мониторинг как температуры, так и давления.

9.7        Преждевременная конденсация. Преждевременная конденсация может быть вызвана температурой газа, оказавшейся слишком низкой после снижения давления до измерительного давления.

 

10Отчет об испытании

 

Отчет об испытании должен включать следующую информацию:

a)        ссылку на настоящий стандарт;

б)        информацию, необходимую для полной идентификации пробы;

в)        полученные результаты;

г)  детальные данные действий, не указанных в настоящем стандарте или рассматриваемых как необязательные, вместе с детальной информацией любых инцидентов, которые могли бы повлиять на результаты.

 

Приложение Б

(справочное)

 

Примеры производственного участка установки

 

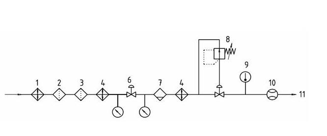
Общая схема измерительной установки показана на Рисунке Б.1, на который изображены две системы регулирования и контроля расхода и давления. Все точки установки, расположенные между концом линии отбора проб и точкой, где газ охлаждается до конденсации, следует содержать при температуре, по крайней мере, на 5 градусов выше, чем локальная температура конденсации.

 

gos 6

 

a)Контролер давления, расположенный перед охлаждающей ванной

Рисунок Б.1, лист 1 - Стандартный производственный участок измерительной установки

gos 7

 

б) Контролер давления, расположенный после охлаждающей ванны

 

1

линия отбора проб с терморегулятором;

2

осушительная трубка (по выбору);

3

пылеуловитель;

4

теплообменник;

5

редуктор давления (обогреваемый или изолированный корпус);

6

редуктор давления (обогреваемый или изолированный игольчатый клапан, управляемый вручную);

7

изобарическое охлаждение и сепаратор газа/жидкости;

8

редуктор противодавления;

9

индикатор для измерения температуры;

10

газометр;

11

вентиляция;

12

редуктор для снижения давления до атмосферного давления (игольчатый клапан, управляемый вручную).

 

Рисунок Б.1, лист 2 - Стандартный производственный участок измерительной установки

Примечание – Обозначения графические условные не указанных в общей схеме измерительной установки определяются по ГОСТ 2.781.

 

Приложение В

(справочное)

 

Пример калибровки механического дифманометра — Метод B

 

Несколько величин псевдо-конденсата (1:1 смесь  n-decade  и триметилбензола) вводятся с помощью шприца. Массу введенного конденсата получают, взвешивая шприц до и после впрыскивания. Показание механического дифманометра дано в вольтах. Оба значения приведены в Таблице В.1 и отображены на рисунке В.1. Полученная функция отклика составляет:

 

mcond = 157,11×I Δр - 74,88                                                        (В.1)

 

где mcond - фактическая масса конденсата в измерительной трубке, выраженная в граммах;

IΔp  - фактическая величина механического дифманометра (преобразователя дифференциального давления), выраженная в единицах взвешивания.

 

 

Таблица В.1 — Калибровка прибора для взвешивания

 

Инъекция

 

 

 

мг

Суммарная инъекция

 

mcond,

мг

Показание механического дифманометра

I p,

В

0

111

110

136

105

133

104

0

111

221

357

462

595

699

0,477

1,181

1,882

2,749

3,423

4,264

4,922

 

 

 

Что касается преобразователя дифференциального давления с линейными характеристиками, то на диаграмме будет изображена прямая линия:

 

mcond = acal × IΔp  + bcal                                                                (В.2)

 

где mcond - фактическая масса конденсата в измерительной трубке, выраженная в граммах;

IΔp  - фактическая величина механического дифманометра (преобразователя дифференциального давления), выраженная в единицах взвешивания;

acal – уклон линии калибровки преобразователя дифференциального давления, выраженный в граммах на единицу взвешивания;

bcal - пересечение линии калибровки, выраженное в граммах

 

 

Приложение A

(справочное)

 

Условия выбора температуры и давления для измерения

 

A.1  Общая информация

Температура и давление, до которых следует довести пробу в измерительной установке, зависят от цели измерений. В целом, эти условия выбирают согласно температуре и давлению газа в исследуемом трубопроводе или на перерабатывающем сооружении.

A.2  Применение

A.2.1  Трубопроводы

Для того чтобы определить возможное образование конденсата в трубопроводной системе температура и давление в измерительной установке должны соответствовать условиям в трубопроводной системе, при которых происходит максимальное образование конденсата.

В случае наличия единственного источника подачи газа, измерения можно осуществлять в течение периода времени на входящей установке трубопроводной системы и на определенной представительной установке на выходе при одном и том же эталонном давлении и температуре. Разница между установками на входе и на выходе дает величину конденсата, образованного в этой системе.

A.2.2  Контракты на поставку газа

Если метод измерения используют для проверки газа на предмет соответствия контрактным спецификациям относительно образования конденсата в месте поставки, тогда давление и температура в измерительной системе должны соответствовать контрактным спецификациям.

 

gos 9

Рисунок В.1 — Калибровка прибора взвешивания

 

 

 

 

 

Приложение Г

(справочное)

 

Пример непрямого автоматического измерения — Метод B

 

Конденсат отделяют циклонным сепаратором, который подсоединяется к вертикальной измерительной трубке, оборудованной механическим дифманометром. Со временем отделенный конденсат вызывает постоянное повышение показания механического дифманометра. Время от времени определенное количество конденсата дренируется. Это приводит к внезапному падению сигнала, как показано на рисунке Г.1. Уклон линейной части функции отклика (Рисунок Г.1) указывает на уровень сбора конденсата за определенный период времени. Разделение этого результата на количество газа за тот же период даст количество конденсата на кубический метр (Рисунок Г.2).

 

gos 10

 

Рисунок Г.1 — Пример набора выходных откликов преобразователя дифференциального давления — Метод B

gos 11

Условия измерения:

p = 3,0 MПa (30 бар)

T = 0 °C

 

Рисунок Г.2 — Пример результатов измерения — Метод B

 

УДК 665.612.3                                                   МКС 75.060

 

Ключевые слова: Конденсат, дифманометр, методы измерения, процедура, углеводородная жидкость, гравиметрические методы, отбор проб, влажный газ

 

РУКОВОДИТЕЛЬ ПРЕДПРИЯТИЯ – разработчика стандарта:

 

Директор ТОО «СтройИнжиниринг Астана»_______А.Е.Габдулбариева

 

РУКОВОДИТЕЛЬ РАЗРАБОТКИ:

 

Заместитель директора                ________________ Е. Калинич

 

Исполнители:

 

 Главный специалист

 

Т.Альмагжанов


 

 

 Главный специалист

 

Т.Баландина


 

 

 Главный специалист

 

Р.Маусымбаев